Rødbede indeholder naturligt store mængder af nitrat. I
kroppen omdannes nitrat til nitrit og videre til nitrogenoxid (NO). NO har
forskellige virkninger, og det ser ud til at man ikke helt ved, hvilke mekanismer,
der forårsager præstationsforbedringer, men NO påvirker i hvert fald flere
mekanismer relateret til blodgennemstrømning, muskelkontraktion og nervetransmission
(påtænker senere at skrive et indlæg der kommer de fysiologiske mekanismer lidt
nærmere).
Et af de studier, der taler for, at man kan opnå præstationsforbedringer ved indtag af rødbedesaft, er studiet "Beetroot juice and exercise: pharmacodynamic and dose-response relationships". Man skal være opmærksom på, at der også er studier, som ikke finder forbedringer, samt, at omtalte studie kun har 10 forsøgspersoner. Dog opnår resultaterne statistisk signifikans, hvilket betyder, at sandsynligheden for at forbedringerne er opnået ved et tilfælde, der ikke er relateret til indtaget, er meget lille (under 5 %).
Et af de studier, der taler for, at man kan opnå præstationsforbedringer ved indtag af rødbedesaft, er studiet "Beetroot juice and exercise: pharmacodynamic and dose-response relationships". Man skal være opmærksom på, at der også er studier, som ikke finder forbedringer, samt, at omtalte studie kun har 10 forsøgspersoner. Dog opnår resultaterne statistisk signifikans, hvilket betyder, at sandsynligheden for at forbedringerne er opnået ved et tilfælde, der ikke er relateret til indtaget, er meget lille (under 5 %).
![]() |
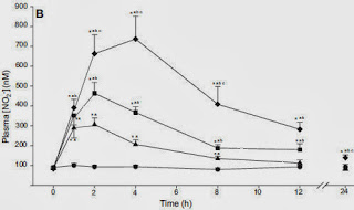
Fra studiet “Beetroot juice and exercise: pharmacodynamic and dose-response relationships” |
Jo mere rødbedesaft,desto større koncentration af nitrit
På ovenstående billede ses en graf over mængden af nitrit i
blodet over tid ved forskelligt indtag af rødbedesaft. Symbolet med cirkler er
en kontrolsituation (placebo) med indtag af rødbedesaft uden nitrat, hvor der
som ventet ikke ses ændring i nitrit-indholdet. De øvrige (trekant, firkant,
ruder) viser nitrit-indholdet efter indtagelse af rødbedesaft i forskellige
mængder (hhv. 70, 140 eller 280 ml). Det ses at jo mere man indtager, desto
større koncentration af nitrit i blodet kan der måles. Ydermere ses det at
koncentrationen topper 2-3 timer efter indtagelse.
Større indtag af
rødbedesaft giver større præstationsforbedringer – til en vis grænse!
I studiet udfører forsøgspersonerne både en submaksimal test (moderat intensitet) og en udmattelsestest. Ved den submaksimale test viste det sig, at kun kørslerne med 140* og 280 ml rødbedesaft adskilte sig fra placebo, idet forsøgspersonerne i gennemsnit kørte med hhv. 1,7 og 3,0 % lavere iltoptagelse. Med andre ord brugte forsøgspersonerne 1,7 og 3,0 % mindre ilt på en given belastning i forhold til testen med placeboindtagelse. I dette tilfælde kan man altså sige: Jo mere, jo bedre.
I studiet udfører forsøgspersonerne både en submaksimal test (moderat intensitet) og en udmattelsestest. Ved den submaksimale test viste det sig, at kun kørslerne med 140* og 280 ml rødbedesaft adskilte sig fra placebo, idet forsøgspersonerne i gennemsnit kørte med hhv. 1,7 og 3,0 % lavere iltoptagelse. Med andre ord brugte forsøgspersonerne 1,7 og 3,0 % mindre ilt på en given belastning i forhold til testen med placeboindtagelse. I dette tilfælde kan man altså sige: Jo mere, jo bedre.
*Forskellen mellem ”140
ml”-kørslen og placebo var dog ikke statistisk signifikant (P=0,6 - hvilket betyder at der er 6 % chance for at forbedringerne skyldtes tilfældigheder)
Når det gjaldt udmattelsestesten (hvor længe personerne
kunne køre på en høj belastning inden udmattelse), er billedet dog lidt
anderledes. Det ses af nedenstående graf, at forsøgspersonerne tilsyneladende
kørte i længst tid ved indtagelse af 140 ml rødbedesaft, selvom indtagelse af
280 ml næsten førte til lige så store forbedringer i tid til udmattelse (hhv. 14 og 12 % længere tid).
Det lader altså ikke til, at der er forskel i præstationen ved 140 ml eller
mere, selvom niveauet af nitrit er højere ved indtagelse af 280 ml.
I forsøget blev der anvendt et produkt der hedder Beet It,
hvor nitrat-indholdet er så højt som muligt, således at man ikke skal drikke
for store mængder. Det er altså nitrat-indholdet der er det afgørende, og skal
man have samme mængde nitrat fra almindelig rødbedesaft skal man indtage hhv.
300, 600 eller 1200 ml for at få samme mængde som ved indtagelse af hhv. 70,
140 eller 280 ml Beet It (svarer til 1, 2 eller 4 shots). Med andre ord slipper
man for en stor mængde væske, hvis man vælger Beet It.
![]() |
Tid til udmattelse ved forskelligt indtag af rødbedesaft og placebo (PL) |
Det skal understreges at man ved udmattelsestests ser væsentlig højere procentvise forbedringer end det er tilfældet på såkaldte time trials, som fx en given løbedistance (fx 5 km til marathon), og forfatterne til artiklen mener, at de 12-14 % vil svare til 1-2 % forbedret konkurrencetid.
Konklusionen
på dette er, at:
- 2 shots virker lige så godt som 4
- 2 shots svarer til 600 ml rødbedesaft (nitrat-indholdet kan dog variere)
- Effekten (mængden af nitrit i blodet) topper efter ca. 2,5 timer og aftager herefter langsomt
Hvornår man skal indtage rødbedesaften afhænger af varigheden af aktiviteten. Løber man et 400 m løb som er overstået på et enkelt minut kan man indtage rødbedesaft 2,5 timer inden start, men ved en længerevarende udholdenhedsaktivitet (fx marathon) kan det give mening at vente til måske 1,5 time før start, således at nitrit-indholdet i blodet er på et højt niveau ved konkurrencens start og topper ca. midtvejs, hvorefter koncentrationen langsomt aftager.
Mine anbefalinger til indtag ved forskellige slags konkurrencer er opstillet nedenunder, men der er individuelle variationer i optaget af nitrat/nitrit, så det skal ikke ses som en facitliste og man kan selv prøve sig frem.
Distance |
Rødbede indtages X timer før start |
400 m |
2,5 |
800 m |
2,5 |
1500 m |
2,5 |
3 km |
2,5 |
5 km |
2,5 |
10 km |
2,25-2,5 |
½ Marathon |
2 |
Marathon |
1,5 |
Det afgørende for indtagelsestidspunktet er ikke distancen, men selvfølgelig den forventede sluttid. Mine anbefalinger er baseret på, at koncentration af nitrit i blodet skal toppe midtvejs i løbet, og især på marathondistancen, hvor sluttider kan variere fra ca. 2,5 time til måske 5 timer er det værd at regne lidt på det selv.
Som en sidste praktisk anbefaling ville det være en god idé at afprøve dette på en træningstur (især for langdistanceløbere) for at sikre sig, at man ikke får maveproblemer.
KonklusionDer findes både studier, der ser en effekt og studier der ikke gør. Personligt har jeg gode erfaringer med rødbedesaft, skønt jeg ikke kan påvise effekterne. Hvis der er op til 1-2 % at hente tager jeg gerne dem med.
Referencer:
Beetroot
juice and exercise: pharmacodynamic and dose-response relationships:
Artikel om emnet på runnersworld.com:
Ingen kommentarer:
Send en kommentar